logo

Guide

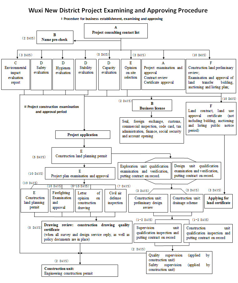
Wuxi New District project examining and approving procedure

Updated: Feb 4, 2020 bizwnd.com Print
Share - WeChat

A: Economic Development Department

B: Industry and Commerce Department

C: Environmental Protection Department

D: Safety Supervision Department

E: Planning Department

F: Land and Resources Department

Editors' Picks

LEAVE YOUR MESSAGE

*Your E-mail Address

Copyright©2026 China Daily. All rights reserved.

京ICP备13028878号-6

京公网安 京公网安备 11010502032503号